2012年4月23日 星期一

differential convolution

一階導數(First-order derivative)





二階導數(Second-order derivative)






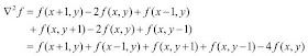
在影像上The Laplacian











所以可得到












故影像銳化convolutionj二階微分算子可以有如下形式



在影像上一階導數可用sobel,下圖左為X方向梯度,右為Y方向梯度中間取2可以抑制雜訊











還有高斯形式,下突即為Y方向梯度的高斯形式














用matlab呈現

sigma = 1.5;
[x,y]=ndgrid(floor(-3*sigma):ceil(3*sigma),floor(-3*sigma):ceil(3*sigma));
%若sigma=2
%x=|-2 -2 -2 -2|
%  |-1 -1 -1 -1|
%  | 0  0  0  0|
%  | 1  1  1  1|
%  | 2  2  2  2|
DGaussx=-(x./(2*pi*sigma^4)).*exp(-(x.^2+y.^2)/(2*sigma^2));
DGaussy=-(y./(2*pi*sigma^4)).*exp(-(x.^2+y.^2)/(2*sigma^2));
Ix = imfilter(I,DGaussx,'conv');  %x方向梯度
Iy = imfilter(I,DGaussy,'conv');  %y方向梯度

沒有留言:

張貼留言